Search

QuarryView Naming Structure


QuarryView Naming Structure

Pedestal Style

QuarryView seating is offered with one of two pedestal styles. Choose Planter or End Table.

Planter Option
Planter
End Table Option
End Table

Node Configuration

QuarryView seating consists of a network of stone pedestals nodes. The following nodes are available.

A Node
Planter, Single Hole, End point
B Node
Planter, Two Hole, 90 degrees
C Node
Planter, Two Hole, 180 degrees
D Node
Planter, Two Hole, 270 degrees

E Node
Planter, Three Hole
F Node
Planter, Four Hole

G Node
End Table, Single Hole, End point
H Node
End Table, Two Hole, 90 degrees
I Node
End Table, Two Hole, 180 degrees
J Node
End Table, Two Hole, 270 degrees

K Node
End Table, Three Hole
L Node
End Table, Four Hole

Naming Congruencies

Dependending on the starting node, A configuration of nodes can have differing names with the same geometry. This is perfectly acceptable and will not effect construction of materials or pedestals provided.

QV1-A60B60A
QV1-A60B60A
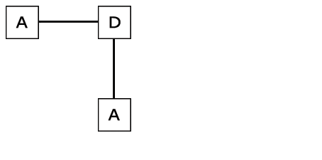
QV1-A60D60A
QV1-A60D60A

Additional Examples

Included is a series of configurations with associated product codes for reference. Products assume a 60inch seat length between each node.

QV1-A60A
QV1-A60A
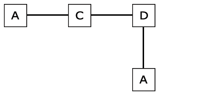
QV1-A60C60A
QV1-A60C60A
QV1-A60C60D60A
QV1-A60C60D60A
QV1-A60E60C60A60A
QV1-A60E60C60A60A


Find by Product
BenchesTrash ReceptaclesRecycling BinsBike RacksCigarette ReceptaclesPlantersTables & ChairsUmbrellasTree GuardsTree GratesCustom